Run1 (LO Gain): Pedestal Per-Channel Plots
| Channel No. |
Histogram |
Autocorrelation |
Raw Data |
FFT |
| Channel No. 000 |
|
|
|
|
| Channel No. 001 |
|
|
|
|
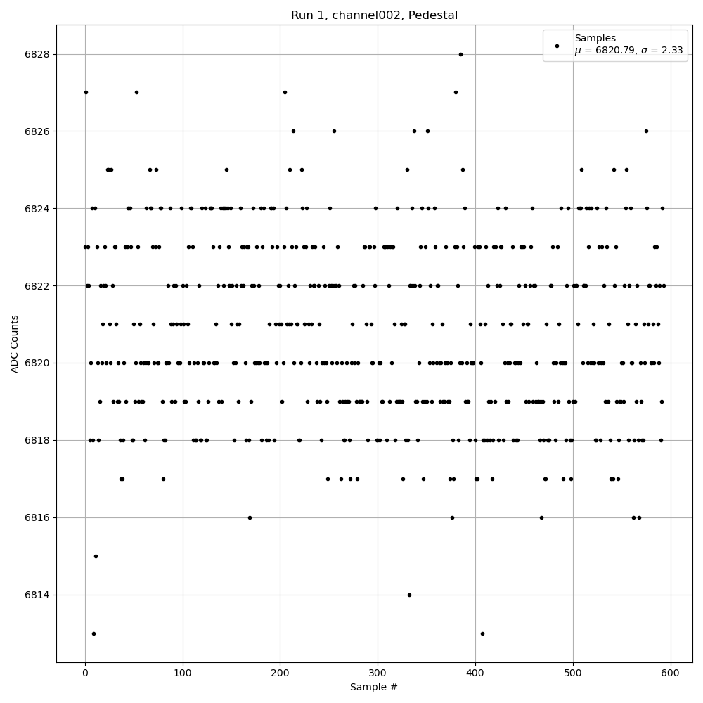
| Channel No. 002 |
|
|
|
|
| Channel No. 003 |
|
|
|
|
| Channel No. 004 |
|
|
|
|
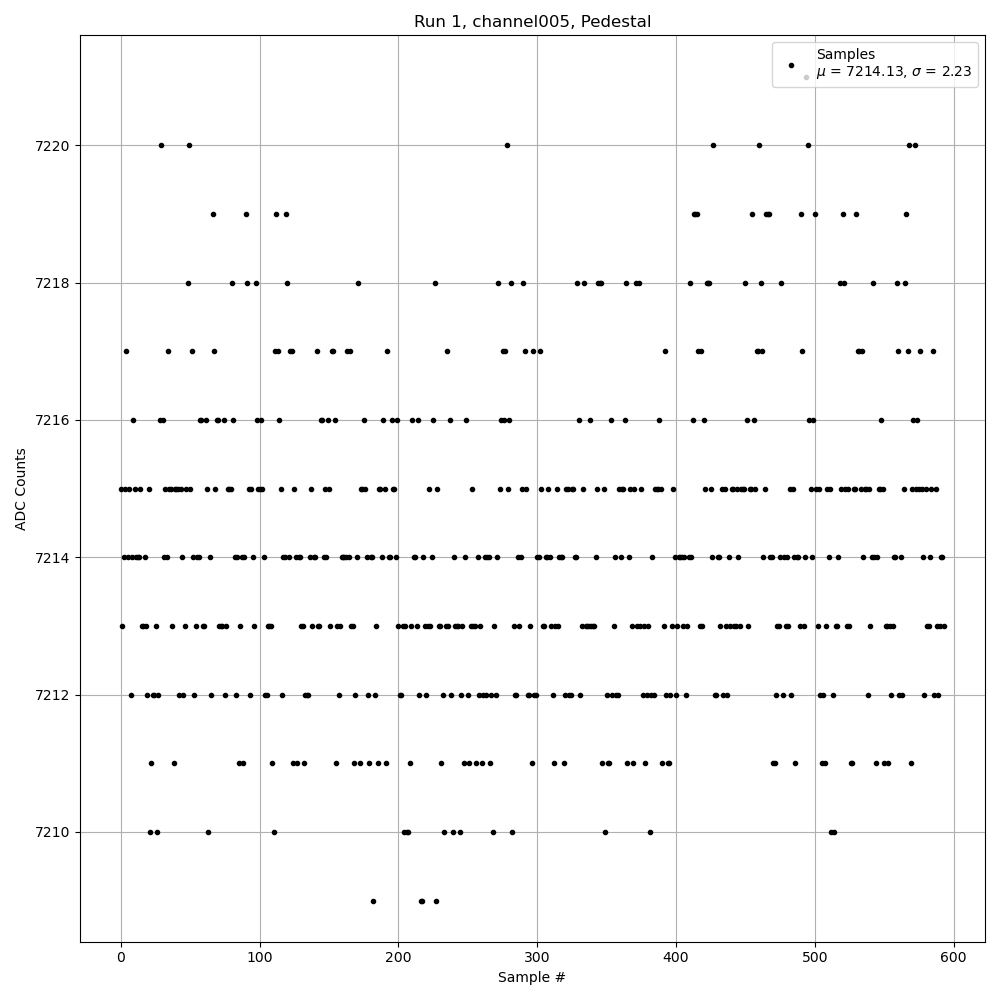
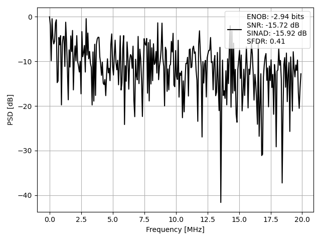
| Channel No. 005 |
|
|
|
|
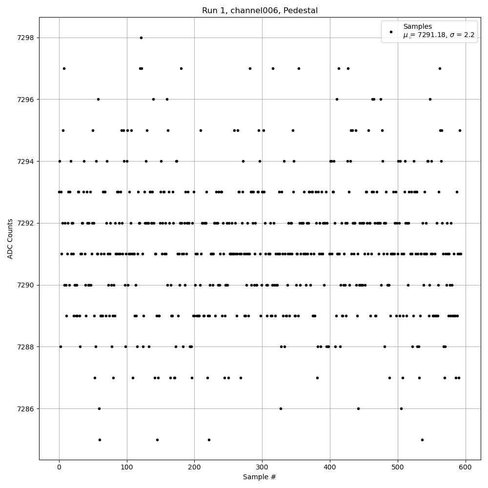
| Channel No. 006 |
|
|
|
|
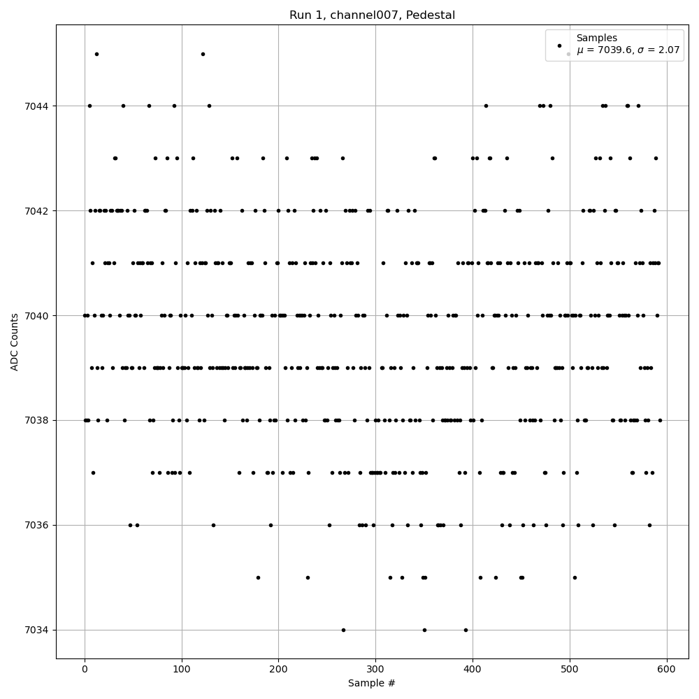
| Channel No. 007 |
|
|
|
|
| Channel No. 008 |
|
|
|
|
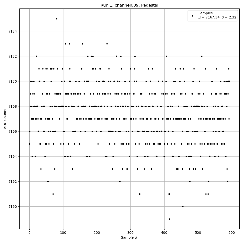
| Channel No. 009 |
|
|
|
|
| Channel No. 010 |
|
|
|
|
| Channel No. 011 |
|
|
|
|
| Channel No. 012 |
|
|
|
|
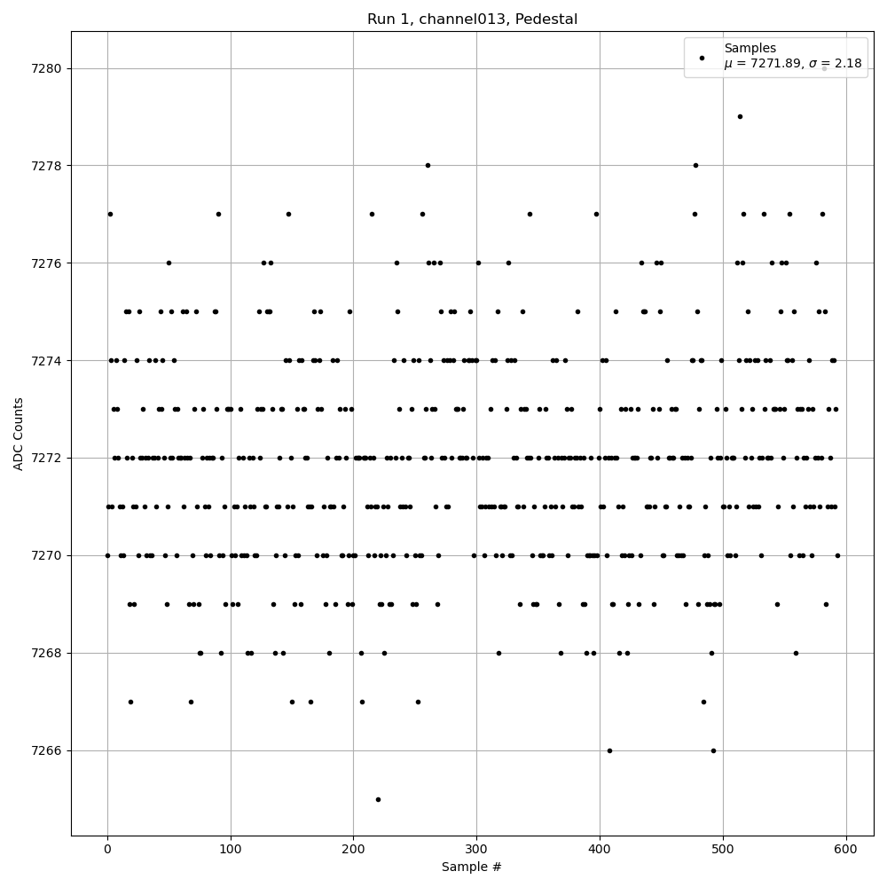
| Channel No. 013 |
|
|
|
|
| Channel No. 014 |
|
|
|
|
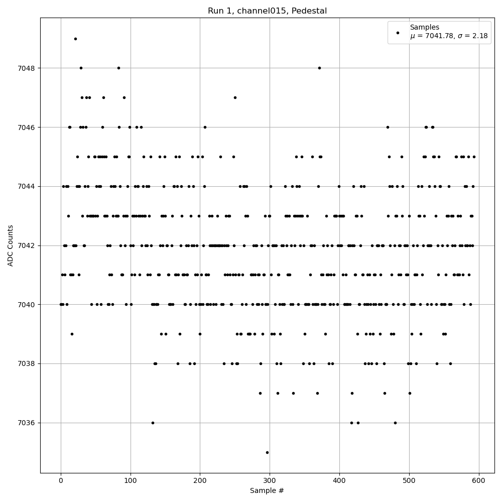
| Channel No. 015 |
|
|
|
|
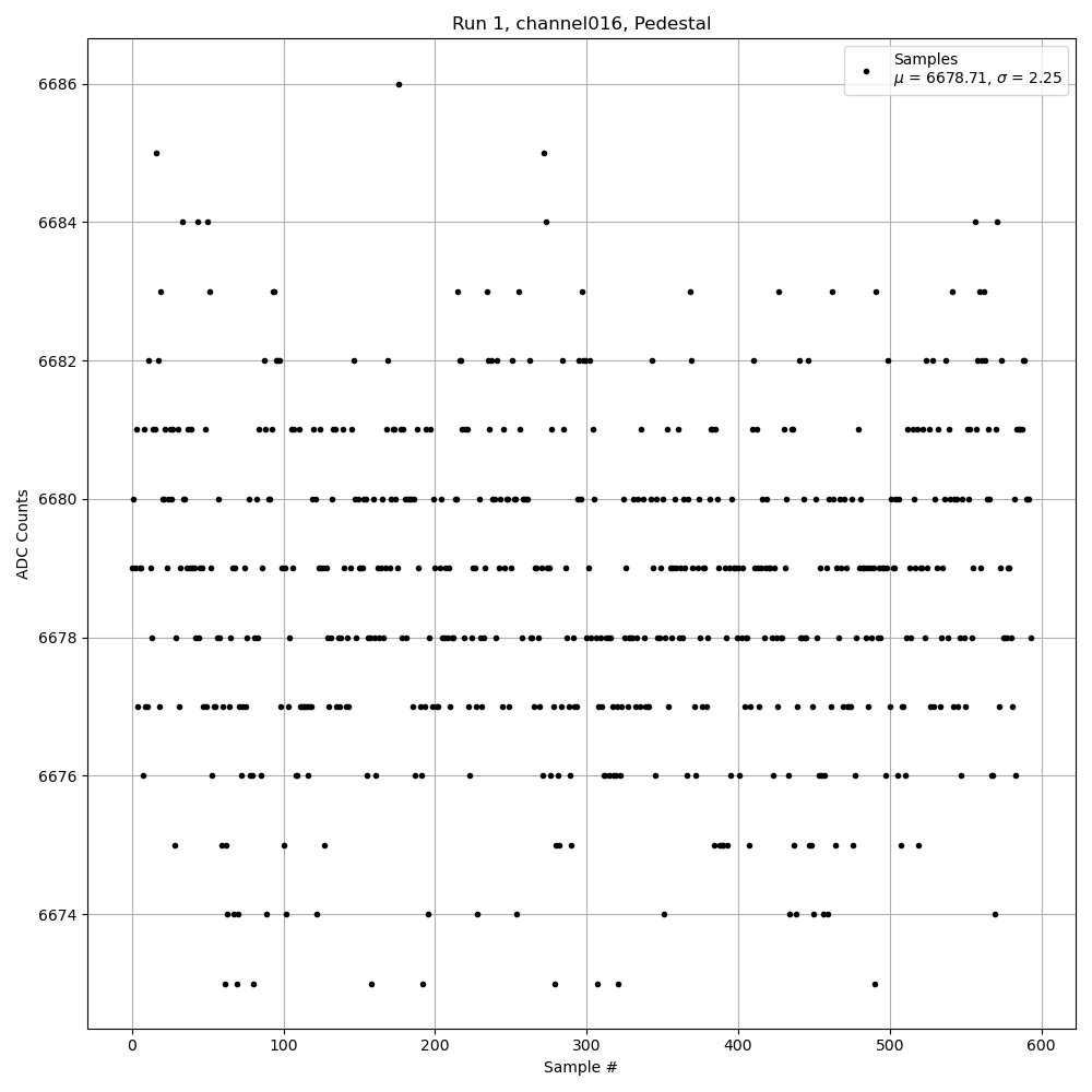
| Channel No. 016 |
|
|
|
|
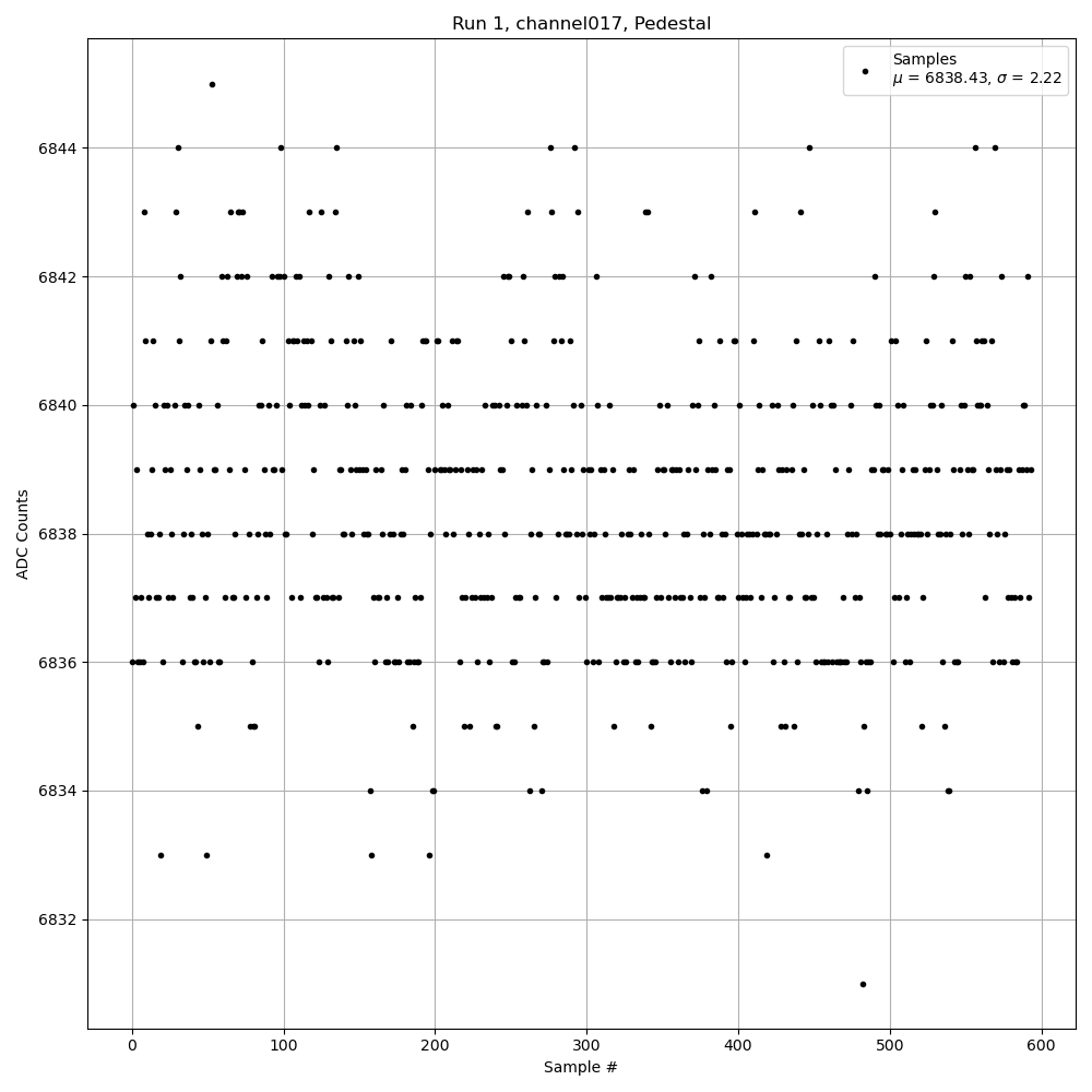
| Channel No. 017 |
|
|
|
|
| Channel No. 018 |
|
|
|
|
| Channel No. 019 |
|
|
|
|
| Channel No. 020 |
|
|
|
|
| Channel No. 021 |
|
|
|
|
| Channel No. 022 |
|
|
|
|
| Channel No. 023 |
|
|
|
|
| Channel No. 060 |
|
|
|
|
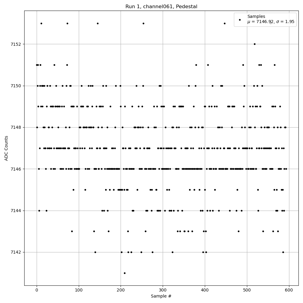
| Channel No. 061 |
|
|
|
|
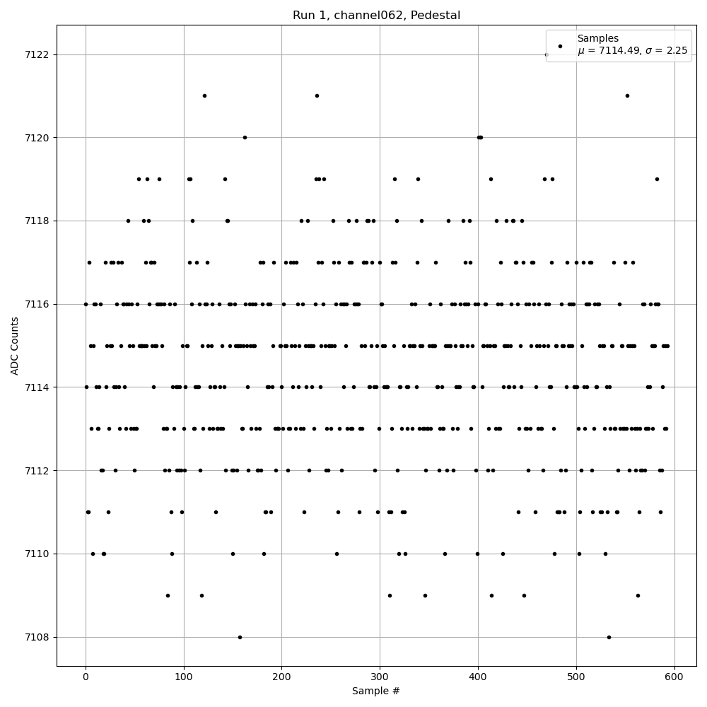
| Channel No. 062 |
|
|
|
|
| Channel No. 063 |
|
|
|
|