FEB2 Home
run624 Pulse Summary
(View individual LO amplitudes)
(View individual HI amplitudes)
SUMMARY
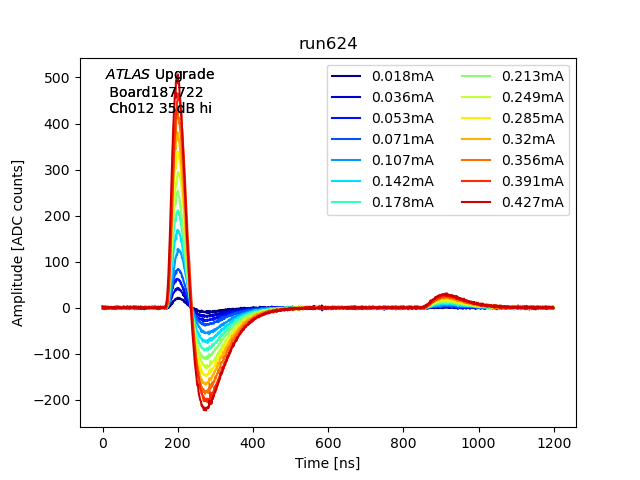
Pulse Overlay hi
Pulse Overlay lo
Pulse Derivative
Pulse Derivative lo
Pulse Derivative (gradient method) hi
Pulse Derivative (gradient method) lo
Linearity and Gain
Energy Resolution hi
Sigma E hi
Energy Resolution lo
Sigma E lo
Timing Resolution hi
Timing Resolution lo
Timing Mean
Risetimes
Autocorrelation
Gain Ratio