RW Vertex | RW Function | Resolution Dependence | |
---|---|---|---|
No RW | ![]() |
dEta | ![]() |
![]() |
![]() |
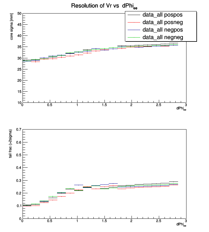
dPhi | ![]() |
![]() |
![]() |
maxEcellE1 | ![]() |
![]() |
![]() |
maxEcellE2 | ![]() |
![]() |
![]() |
maxEcellE (both e1&e2) | ![]() |
||
eta1 | ![]() |
![]() |
![]() |
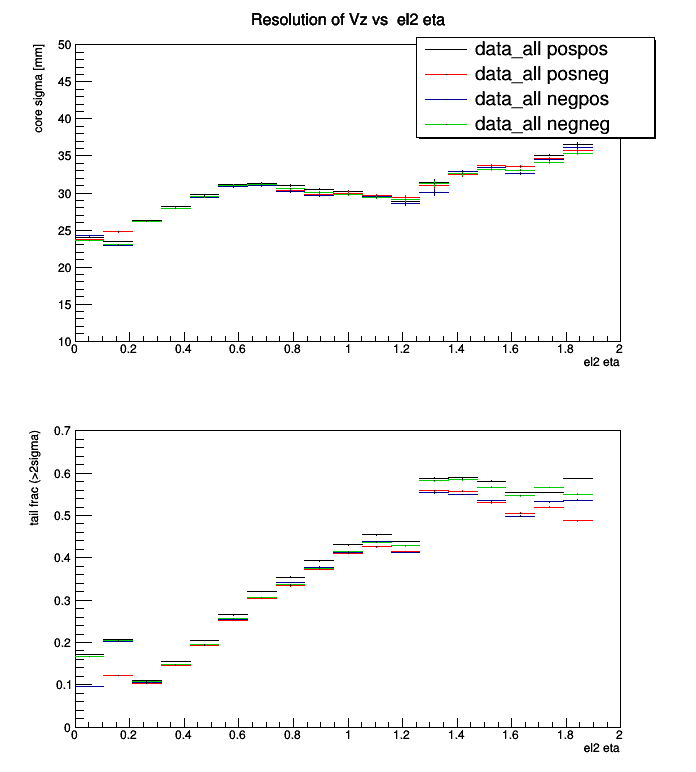
eta2 | ![]() |
![]() |
![]() |
eta (both e1&e2) | ![]() |
RW Vertex | RW Function | Resolution Dependence | |
---|---|---|---|
dEta | ![]() |
![]() |
![]() |
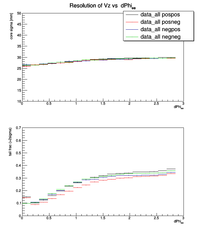
dPhi | ![]() |
![]() |
![]() |
maxEcellE1 | ![]() |
![]() |
![]() |
maxEcellE2 | ![]() |
![]() |
![]() |
maxEcellE (both e1&e2) | ![]() |
||
eta1 | ![]() |
![]() |
![]() |
eta2 | ![]() |
![]() |
![]() |
eta (both e1&e2) | ![]() |