PhotonReco

Photon Shower Depth Plots

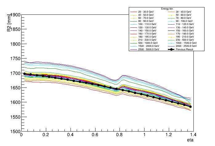
Photon shower depths for tight photons (still working on binning for loose photons -- very different statistics)

My Procedure
- Calculate R1 and R2 values for each event, using the Geometric Method (see below for visualization)
- Fill histograms binned in Energy and |eta| with R1 and R2 values
- Fit these histograms with a Cauchy–Lorentz (also a Breit–Wigner) distribution
- Plot the results as a function of Energy and eta.

Using 40M events:
- Tight Unconv ~ 69%
- Tight Conv ~ 25%
- Loose Unconv ~ 4%
- Loose Conv ~ 0.9%

Note: the errors of these plots are very small because they are supressed by sqrt(Nevents) for each bin. Therefore, I have opted to draw them with smooth lines.

Tight, Unconverted Photons
Description R1 R2
Shower depth R vs eta
Shower depth R vs Energy
Shower depth R vs eta and energy
Number of events per eta and energy bin
Tight, Converted Photons
Description R1 R2
Shower depth R vs eta
Shower depth R vs Energy
Shower depth R vs eta and energy
Number of events per eta and energy bin
Geometric Method: A Visualization
Calculate R1 and R2 for each event based on TV, etaTruth, and the eta of the barycenters (in red)