Example Problems
Example Problem Solutions

Actual Exam problems
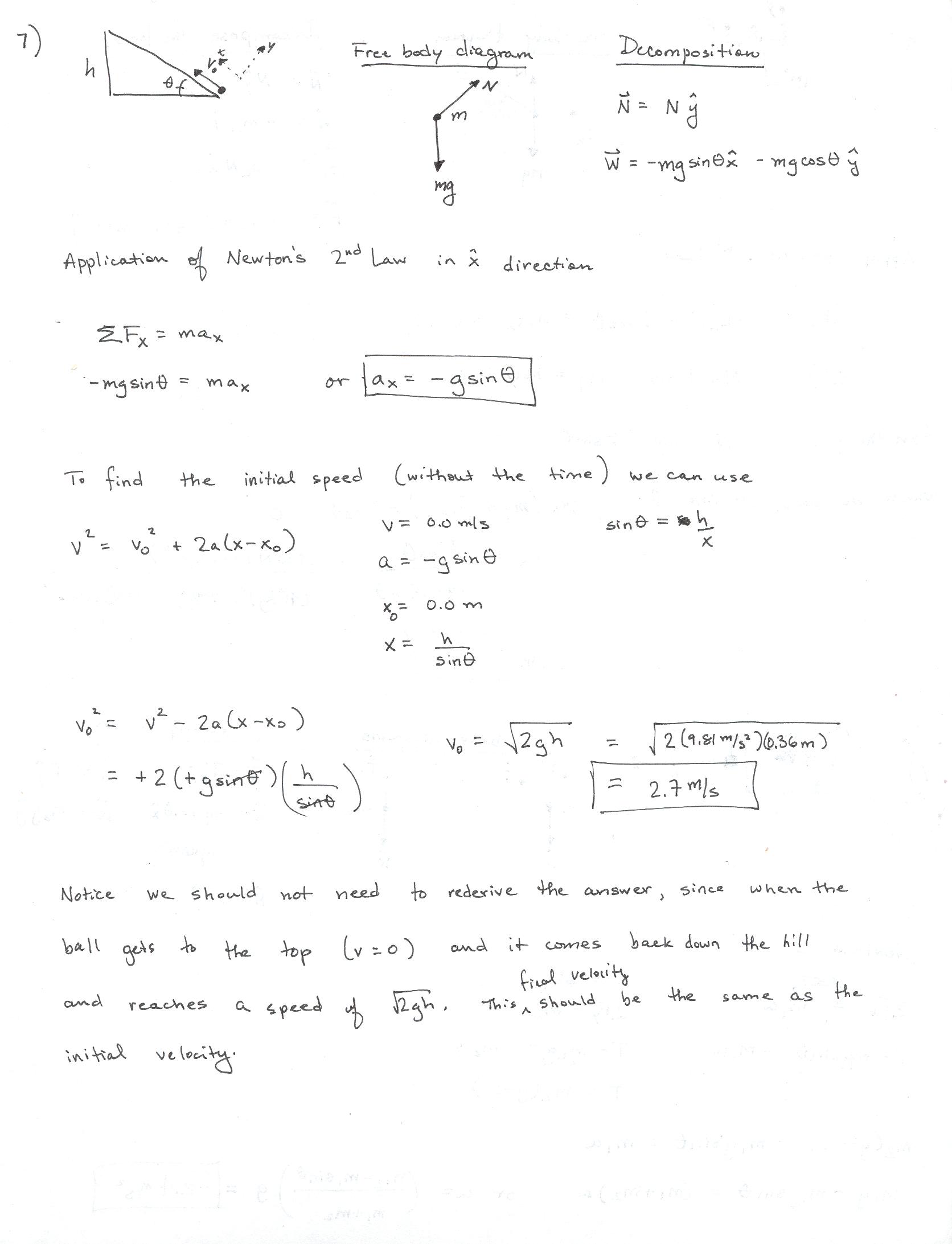
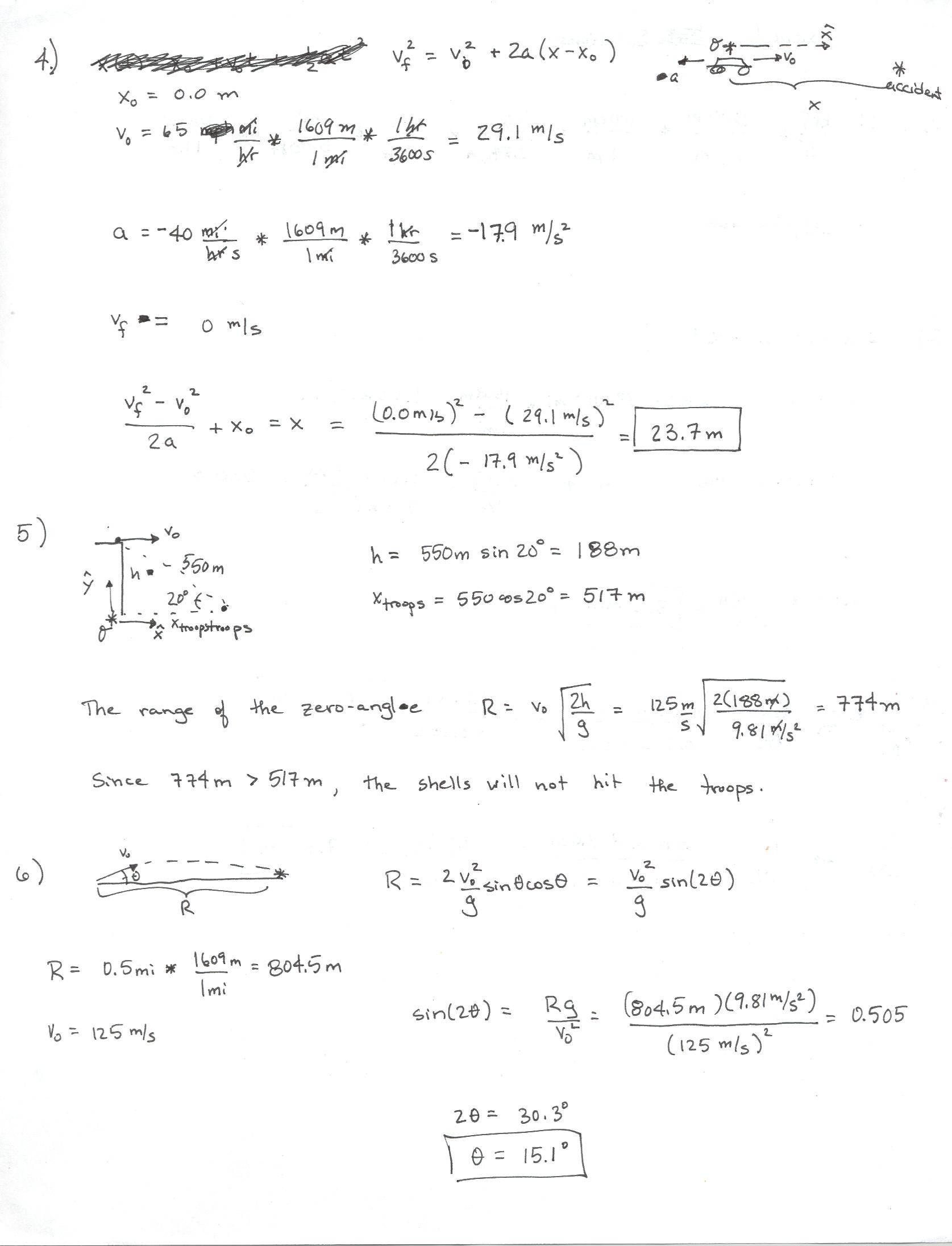
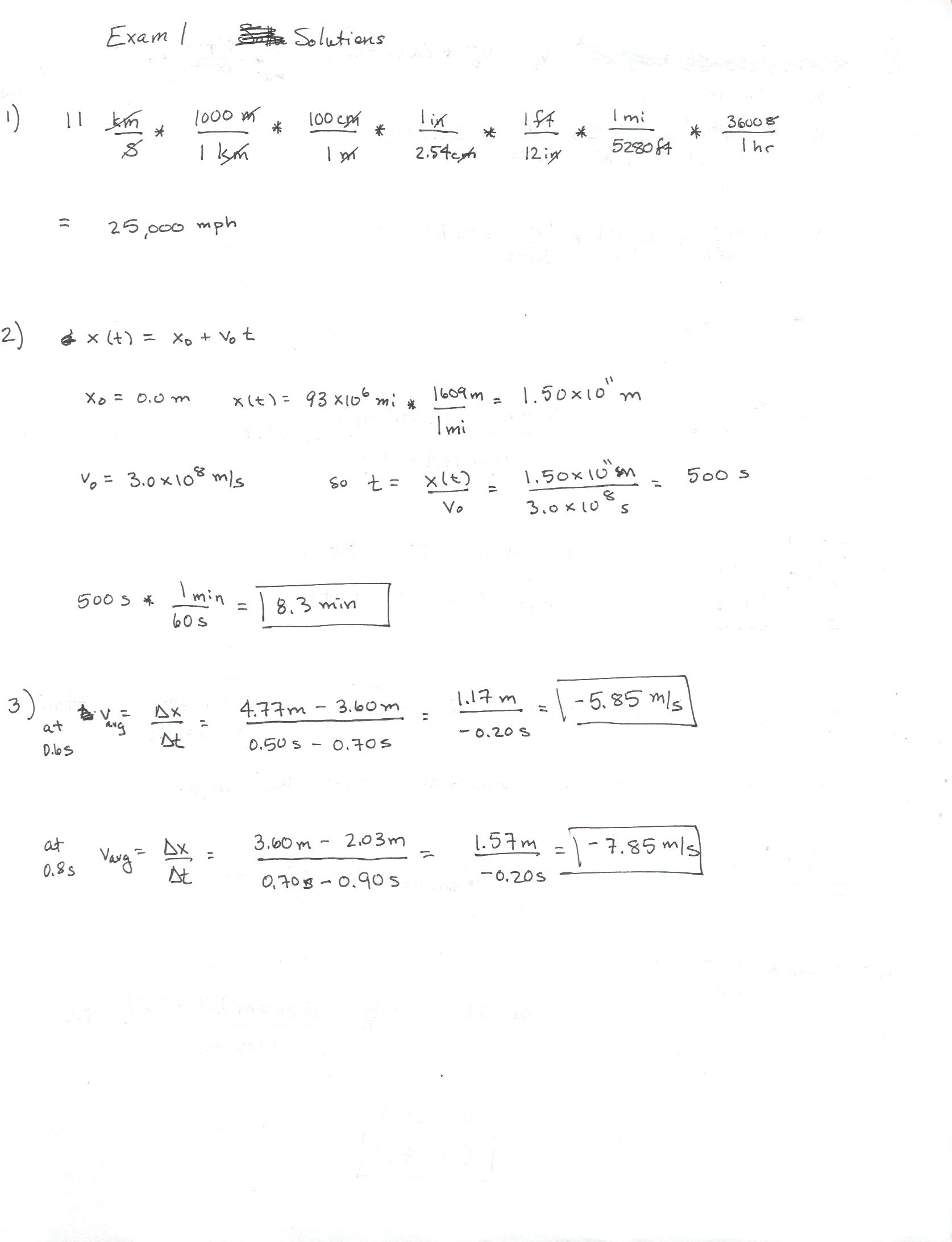
Exam Solutions
page1 ... page2 ... page3 ... page4