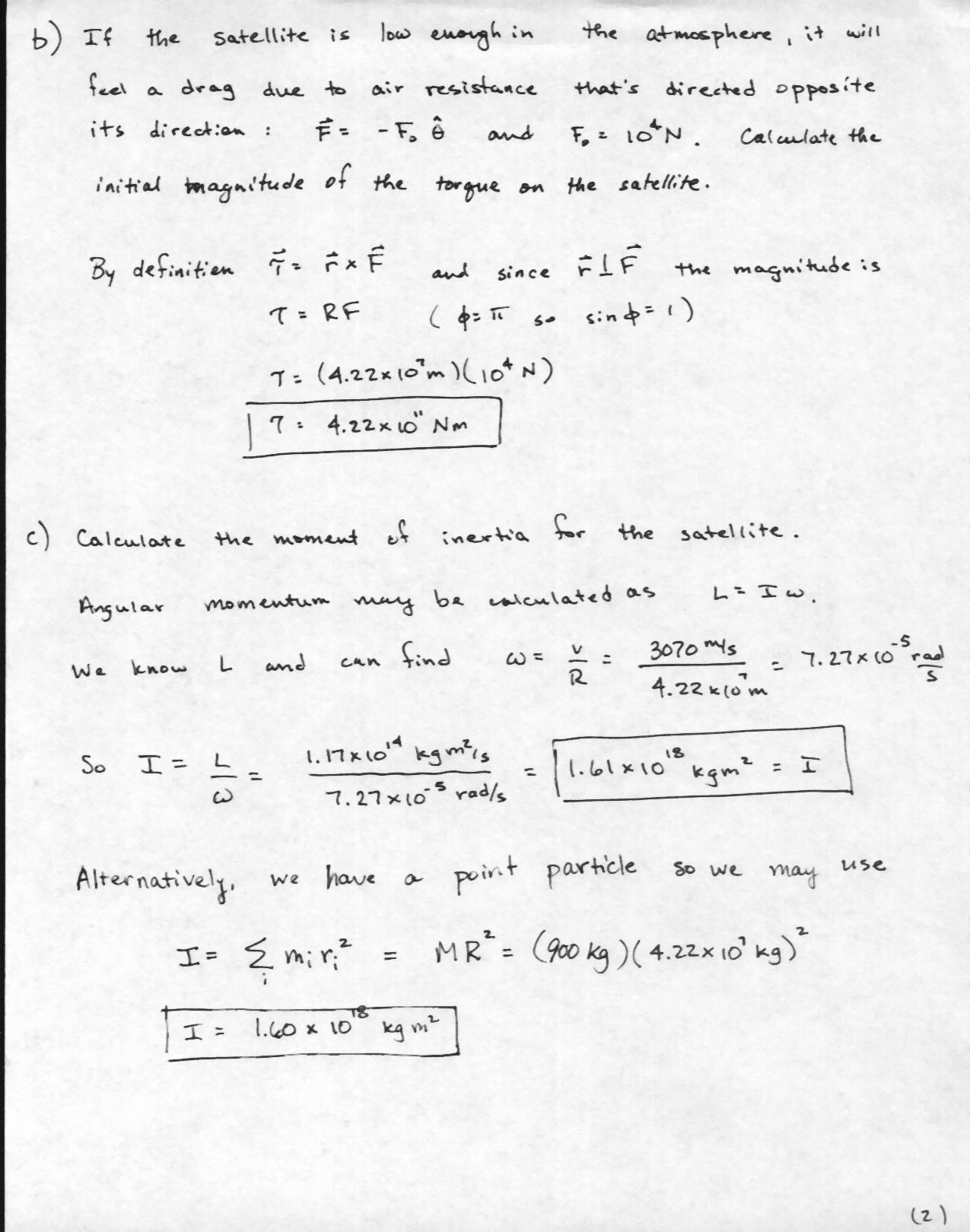
This is the second quiz that we took. Below are the questions with the solutions

Page 1 ... Page 2 ... Page 3 ... Page 4