This is the questions that I have concacted to help you study for the test on Thursday.

page 1 ... page 2

Here are the hand written solutions that are detailed and hopefully neat and clear:

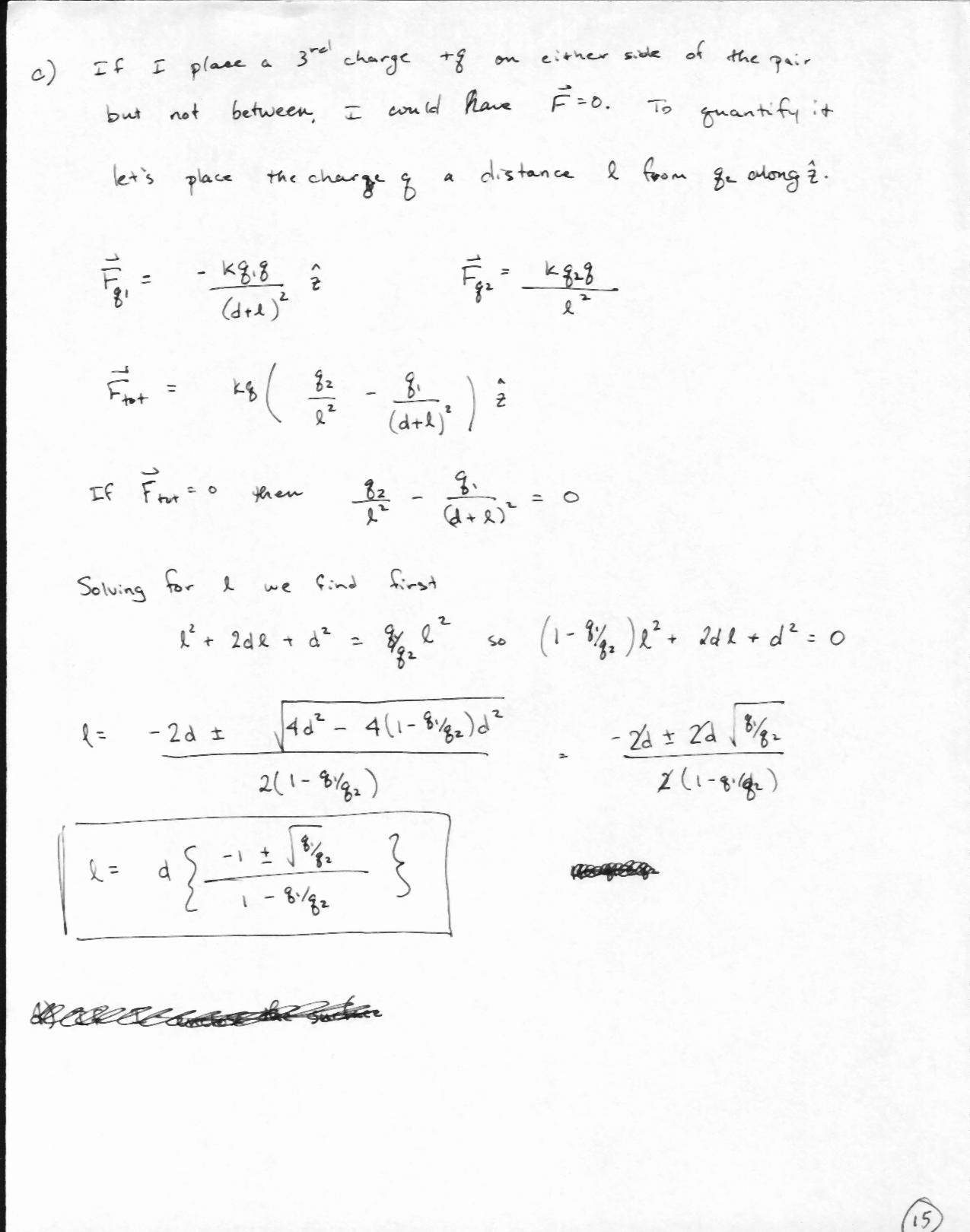
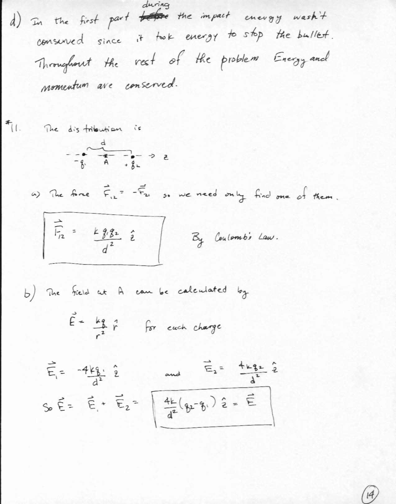
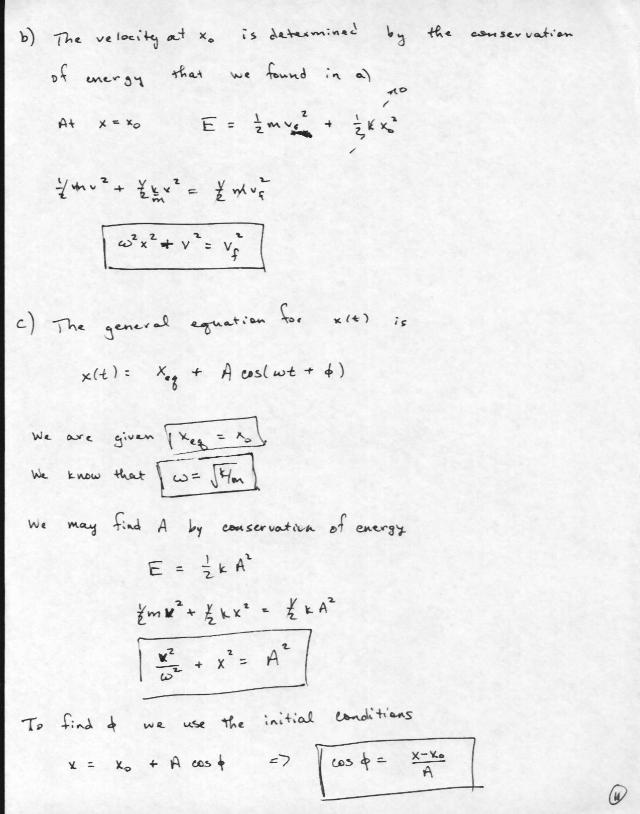
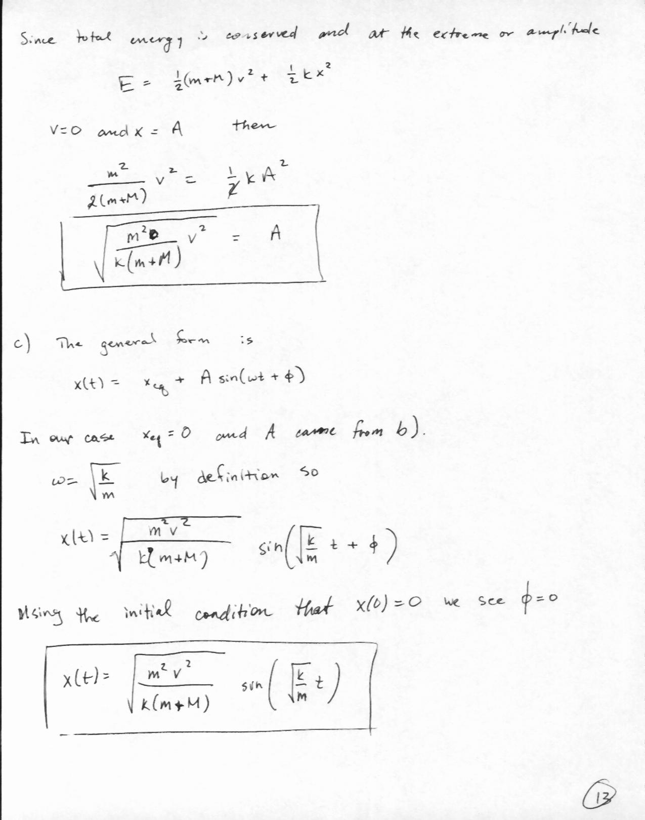
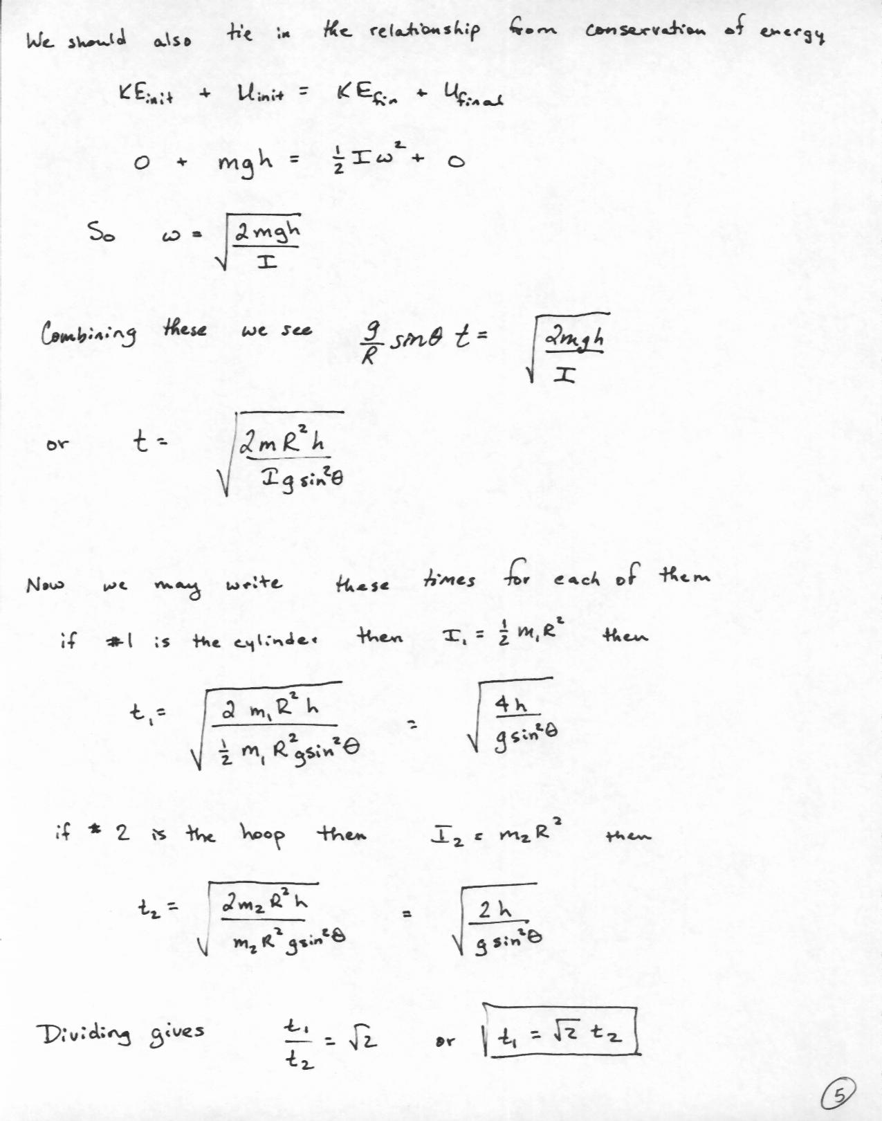
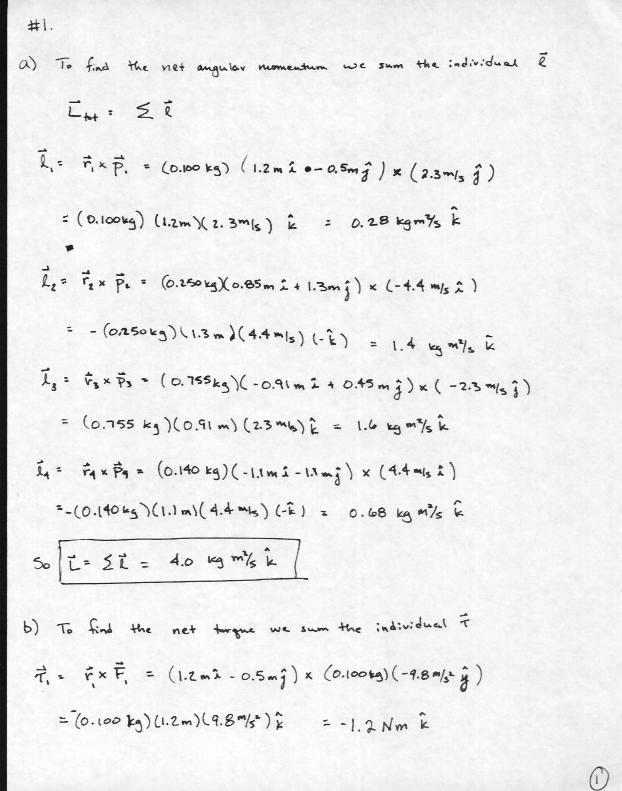
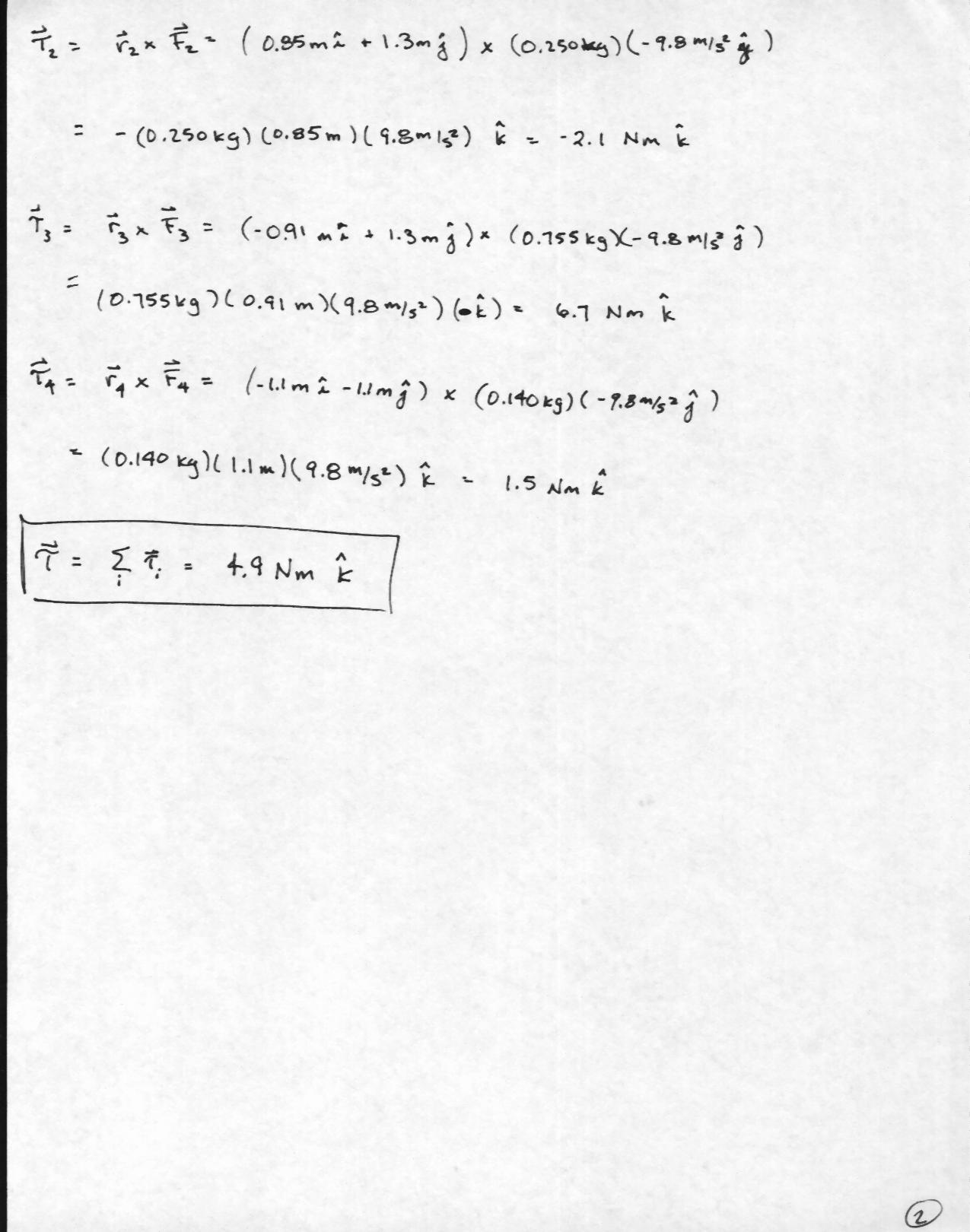
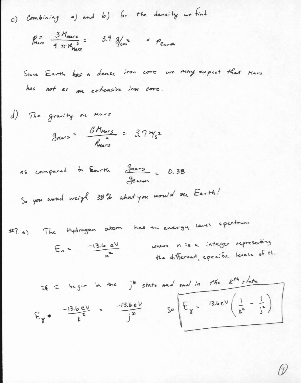
page 1 ... page 2 ... page 3 ... page 4 ... page 5 ... page 6 ... page 7 ... page 8 ... page 9 ... page 10 ... page 11 ... page 12 ... page 13 ... page 14 ... page 15