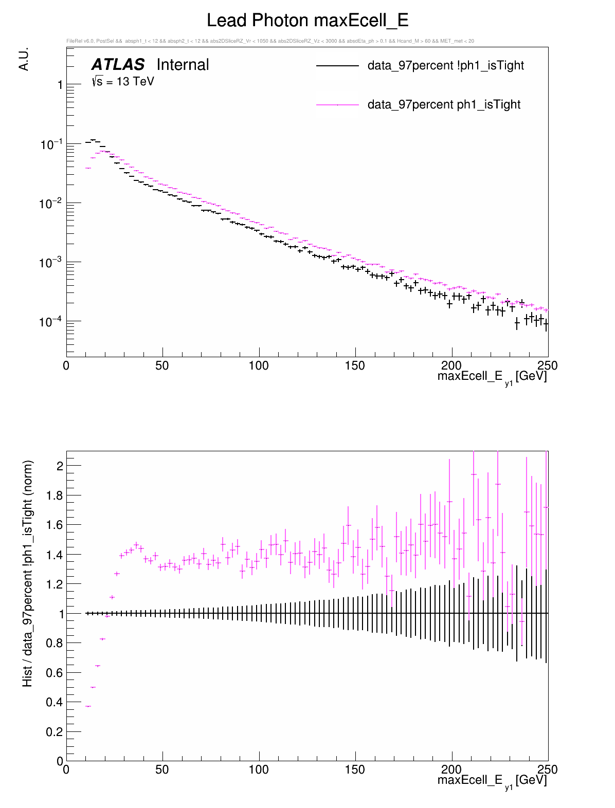
○ For each photon (isTight vs !isTight): leading/subleading pt, eta, E, maxEcell_E, timing, pointing (ph1_z)
○ For event-level variables ((ph1_isTight && ph2_isTight) vs (!ph1_isTight || !ph2_isTight)): vertexing, MET, Hcand_pt, Hcand_M, dEta_ph, dPhi_ph
○ all in Control Region: MET_met < 20
| Plot CDF | Plot Ratio | |
|---|---|---|
| Reco Vertex in R | |
|
| Reco Vertex in Z | |
|
| Higgs Candidate Mass | |
|
| Higgs Candidate pT | |
|
dEta | |
|
dPhi | |
|
| Plot CDF | Plot Ratio | |
|---|---|---|
| Pointing | |
|
| Corrected Timing | |
|
| Eta | |
|
| pT | |
|
| maxEcell_E | |
|
| Energy | |
|
| Plot CDF | Plot Ratio | |
|---|---|---|
| Pointing | |
|
| Corrected Timing | |
|
| Eta | |
|
| pT | |
|
| maxEcell_E | |
|
| Energy | |
|