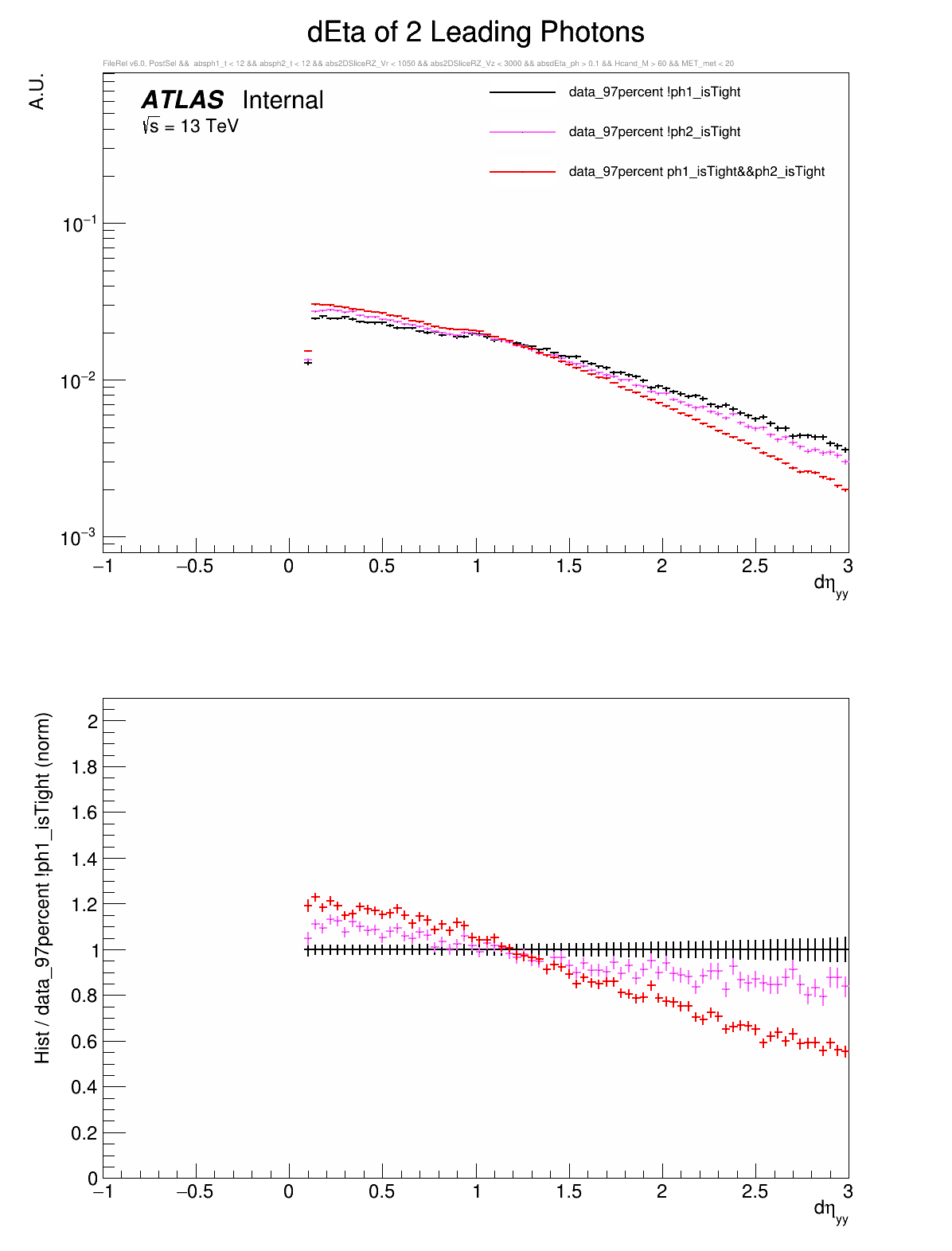
○ All variables are compared between: both photons are tight, leading photon is not tight, or subleading photon is not tight
| Plot CDF | Plot Ratio | |
|---|---|---|
| Reco Vertex in R | |
|
| Reco Vertex in Z | |
|
| Higgs Candidate Mass | |
|
| Higgs Candidate pT | |
|
dEta | |
|
dPhi | |
|
| Plot CDF | Plot Ratio | |
|---|---|---|
| Pointing | |
|
| Corrected Timing | |
|
| Eta | |
|
| pT | |
|
| maxEcell_E | |
|
| Energy | |
|
| Plot CDF | Plot Ratio | |
|---|---|---|
| Pointing | |
|
| Corrected Timing | |
|
| Eta | |
|
| pT | |
|
| maxEcell_E | |
|
| Energy | |
|