The beta spectrum and range measurements

The students are asked to plot their range measurements for the Thallium source on semi-log paper. This is convenient (due to the large dynamic range of the counting rates as a function of thickness), but confusing: They are told that semi-log paper is appropriate for plotting exponentials (true), but rate versus thickness distribution for beta's is not a true exponential. Here is a crude guess at what it might be.

The beta spectrum is mostly phase space, that is,

[Graphics:Images/BetaRange_gr_1.gif]


where [Graphics:Images/BetaRange_gr_2.gif] is the the endpoint energy. (Since for low energy beta's one conventionally speficies their kinetic rather than their total energies, I will be using kinetic energy T and substituting T+m for E in many places below.) Recall also that the endpoint for Thallium is 0.765 MeV; this too appears below as I ask Mathematica to plot 'real world' values.

Putting in explicit values for Thallium where appropriate, we have

[Graphics:Images/BetaRange_gr_3.gif]
[Graphics:Images/BetaRange_gr_4.gif]
[Graphics:Images/BetaRange_gr_5.gif]
[Graphics:Images/BetaRange_gr_6.gif]
[Graphics:Images/BetaRange_gr_7.gif]
[Graphics:Images/BetaRange_gr_8.gif]
[Graphics:Images/BetaRange_gr_9.gif]
[Graphics:Images/BetaRange_gr_10.gif]
[Graphics:Images/BetaRange_gr_11.gif]
[Graphics:Images/BetaRange_gr_12.gif]
[Graphics:Images/BetaRange_gr_13.gif]
[Graphics:Images/BetaRange_gr_14.gif]

[Graphics:Images/BetaRange_gr_15.gif]

[Graphics:Images/BetaRange_gr_16.gif]

And here it is normalized:

[Graphics:Images/BetaRange_gr_17.gif]
[Graphics:Images/BetaRange_gr_18.gif]
[Graphics:Images/BetaRange_gr_19.gif]

[Graphics:Images/BetaRange_gr_20.gif]

Which looks like a real beta spectrum to me.

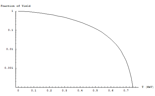
Now if the energy loss did not depend on energy, there would be a simple linear mapping between a given T and the range for beta's with that T, so that number surviving to a given distance would simply be proportional to the number with energy exceeding T:

[Graphics:Images/BetaRange_gr_21.gif]

[Graphics:Images/BetaRange_gr_22.gif]

Here is the same curve on a semi-log plot:

[Graphics:Images/BetaRange_gr_23.gif]
[Graphics:Images/BetaRange_gr_24.gif]

[Graphics:Images/BetaRange_gr_25.gif]


OK, now can I translate this energy spectrum into a range spectrum? Perhaps. The dominant term in the rate of energy loss for charged particles at low velocity is

[Graphics:Images/BetaRange_gr_26.gif]

(Here of course β is v/c, and has nothing to do with 'beta' rays  ;-)

Integrating this leads to

x = [Graphics:Images/BetaRange_gr_27.gif][Graphics:Images/BetaRange_gr_28.gif]


So let's try it. Most of what follows below is the algebra required to transform from "(dn/dT) dT"  to   "(dn/dx) dx" :

[Graphics:Images/BetaRange_gr_29.gif]
[Graphics:Images/BetaRange_gr_30.gif]
[Graphics:Images/BetaRange_gr_31.gif]
[Graphics:Images/BetaRange_gr_32.gif]
[Graphics:Images/BetaRange_gr_33.gif]

First I'll plot the beta spectrum in terms of absorber thickness (in [Graphics:Images/BetaRange_gr_34.gif]):

[Graphics:Images/BetaRange_gr_35.gif]

[Graphics:Images/BetaRange_gr_36.gif]

Continuing our transformation of variables, I need an expression for dT in terms of x, not T:

[Graphics:Images/BetaRange_gr_37.gif]
[Graphics:Images/BetaRange_gr_38.gif]
[Graphics:Images/BetaRange_gr_39.gif]
[Graphics:Images/BetaRange_gr_40.gif]

Let's see what icky bit we'll be asking Mathematica to integrate:

[Graphics:Images/BetaRange_gr_41.gif]
[Graphics:Images/BetaRange_gr_42.gif]

Which makes me think NIntegrate[] is the right way to go...

[Graphics:Images/BetaRange_gr_43.gif]
[Graphics:Images/BetaRange_gr_44.gif]
[Graphics:Images/BetaRange_gr_45.gif]

[Graphics:Images/BetaRange_gr_46.gif]

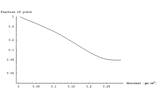
This shows that for the first ~90% of the yield, you will measure a straight line on a semi-log plot, but I hope the long complicated mess to get here should convince you that this is an accident of the convolution of the beta energy spectrum with the [Graphics:Images/BetaRange_gr_47.gif]  of the energy-loss formula in matter.

Also, now I can reveal my real motivation: When I measured the spectrum in the lab, it bothered me greatly that I measured the range to be 0.20 [Graphics:Images/BetaRange_gr_48.gif], while the  'predicted' range for beta's with the endpoint energy of 0.765 MeV is:

[Graphics:Images/BetaRange_gr_49.gif][Graphics:Images/BetaRange_gr_50.gif]

(from the lab manual)

or from my own empirical formula

R = [Graphics:Images/BetaRange_gr_51.gif]

An error of 50% in this simple measurement did not seem reasonable to me, and I attributed this discepancy to the weakness of the source as compared to background (perhaps true; it's certainly a contributor).

But the "Fractional Yield" log plots show the real "problem". It's the fact that the integral yield of the beta spectrum is sharply decreasing as you approach the endpoint that is the real killer. Only ~6% of the counts appear in the last 30% of the range!

BTW, one last consistency check is to make sure that  our differential yield result shows the same endpoint:

[Graphics:Images/BetaRange_gr_52.gif]

[Graphics:Images/BetaRange_gr_53.gif]

Yes, 0.29 seems about right for the endpoint expressed in [Graphics:Images/BetaRange_gr_54.gif]

And I suppose there is one more thing I could do, which is to show the range curve in combination with a background of the same order (~5% in the integral yield) that I measured in the lab:

[Graphics:Images/BetaRange_gr_55.gif]

[Graphics:Images/BetaRange_gr_56.gif]

which looks very much like what I actually measured.


Converted by Mathematica      February 10, 2003