Pass 8 Plots: Time vs Energy
High Gain by Subdetector

Description Profile Plot Projection Plot Detailed Plots
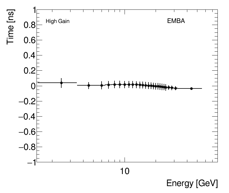
Average Cell Time vs Energy
High Gain EMBA
Time Vs Energy By Slot
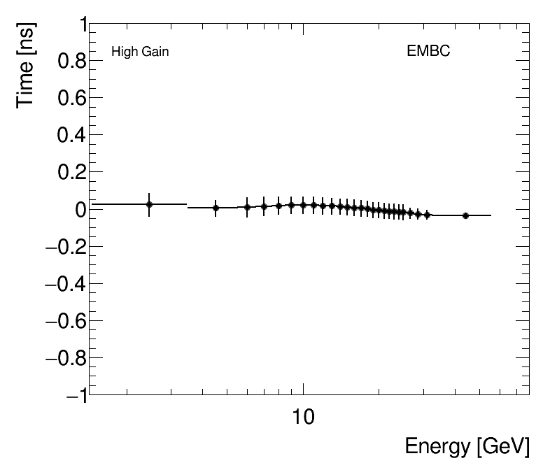
Average Cell Time vs Energy
High Gain EMBC
Time Vs Energy By Slot
Average Cell Time vs Energy
High Gain EMECA
Time Vs Energy By Slot
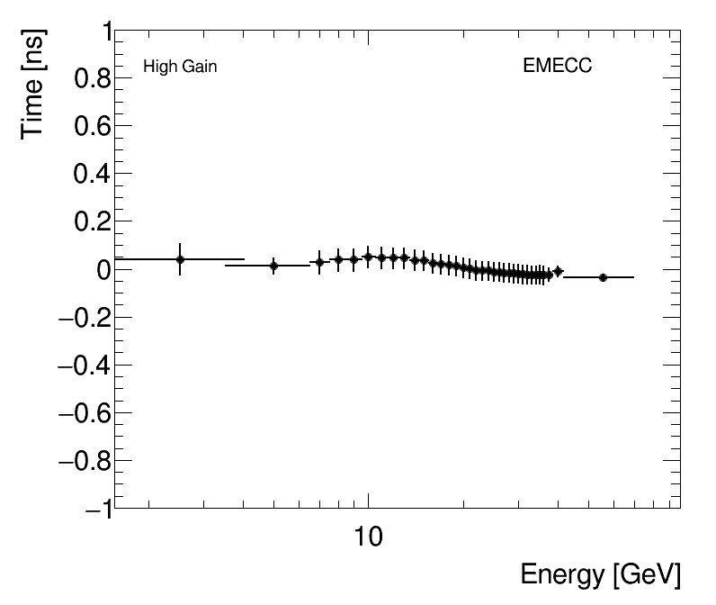
Average Cell Time vs Energy
High Gain EMECC
Time Vs Energy By Slot