Pass 8 Plots

Description Plot 1 Plot 2 Detailed Plots
Resolution and Correlation Plots
(1) Leading vs Subleading Electron Time
(2) EMB Sl 11 High Gain Timing Resolution
Time Resolution Plots, Energy Spectrum Plots
Average Cell Time
High Gain
(1) Linear
(2) Log
Cell Time By SubDetector
Average Cell Time
Medium Gain
(1) Linear
(2) Log
Cell Time By SubDetector
Average Cell Time
Low Gain
(1) Linear
(2) Log
Cell Time By SubDetector
Average FEB Time
High Gain
(1) All FEBs By Run Number
(2) All Runs by FEB
  • FEB Time vs Run per Subdetector
  • Avg FEB Time per Run
  • Average FEB Time
    Medium Gain
    (1) All FEBs by Run Number
    (2) All Runs by FEB
  • FEB Time vs Run per Subdetector
  • Average FEB Time
    Low Gain
    (1) All FEBs by Run Number
    (2) All Runs by FEB
  • FEB Time vs Run per Subdetector
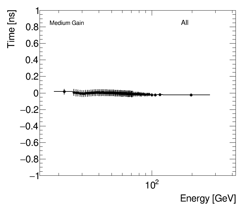
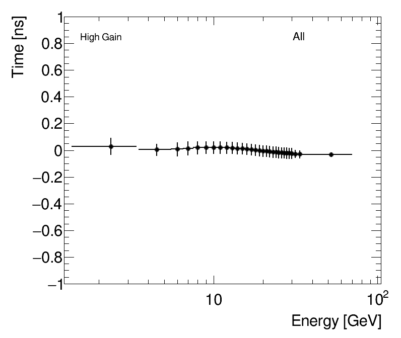
  • Average Time vs Energy
    High Gain
    (1) Profile
    (2) Projection
    Time vs Energy By SubDetector
    Average Time vs Energy
    Medium Gain
    (1) Profile
    (2) Projection
    Time vs Energy By SubDetector
    Average Time vs Energy
    Low Gain
    (1) Profile
    (2) Projection
    Time vs Energy By SubDetector
    Average Time vs Angular Position
    High Gain
    (1) Phi
    (2) Eta
    Time vs Angular Position By SubDetector
    Average Time vs Angular Position
    Medium Gain
    (1) Phi
    (2) Eta
    Time vs Angular Position By SubDetector
    Average Time vs Angular Position
    Low Gain
    (1) Phi
    (2) Eta
    Time vs Angular Position By SubDetector
    Average Time vs Angular Cell Position
    High Gain
    (1) dPhi
    (2) dEta
    Time vs Angular Cell Position By SubDetector
    Average Time vs Angular Cell Position
    Medium Gain
    (1) dPhi
    (2) dEta
    Time vs Angular Cell Position By SubDetector
    Average Time vs Angular Cell Position
    Low Gain
    (1) dPhi
    (2) dEta
    Time vs Angular Cell Position By SubDetector
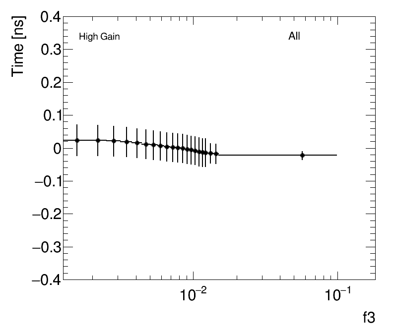
    Average Time vs Fractional Energy Deposit
    High Gain
    (1) f1
    (2) f3
    Time vs Fractional Energy Deposit By SubDetector
    Average Time vs Fractional Energy Deposit
    Medium Gain
    (1) f1
    (2) f3
    Time vs Fractional Energy Deposit By SubDetector
    Average Time vs Fractional Energy Deposit
    Low Gain
    (1) f1
    (2) f3
    Time vs Fractional Energy Deposit By SubDetector