This is the questions that I have concacted to help you study for the test on Thursday.

Review Sheet

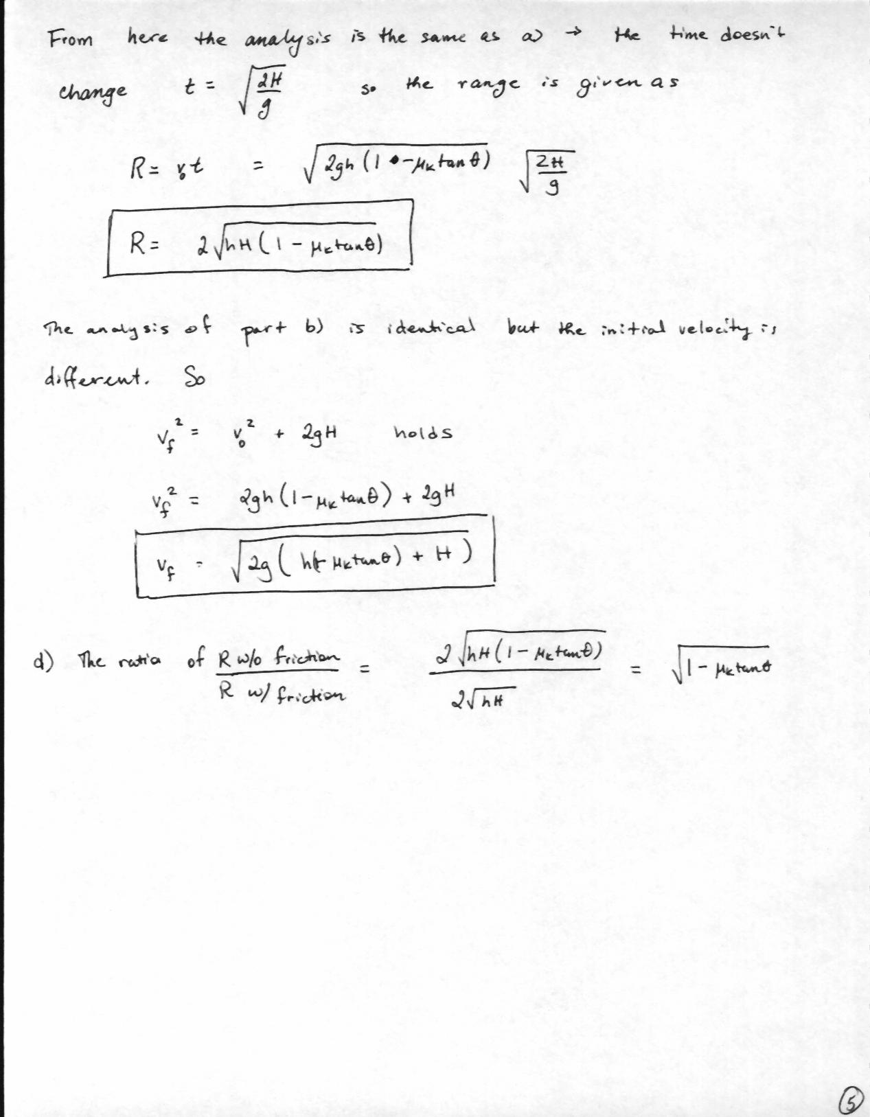
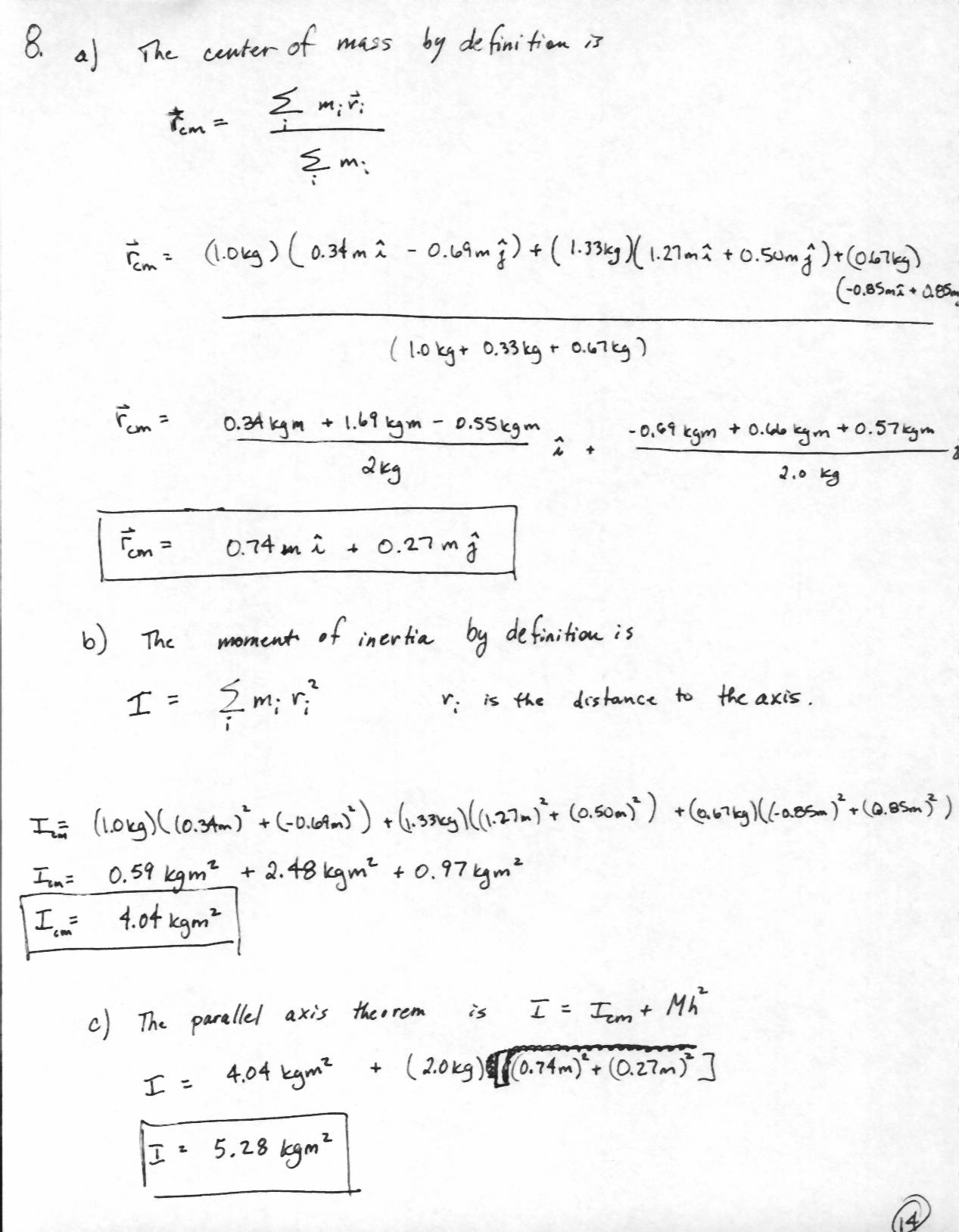
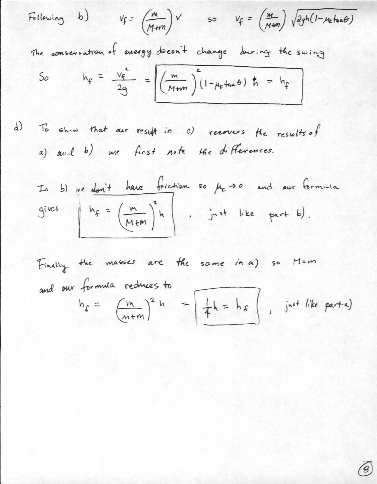
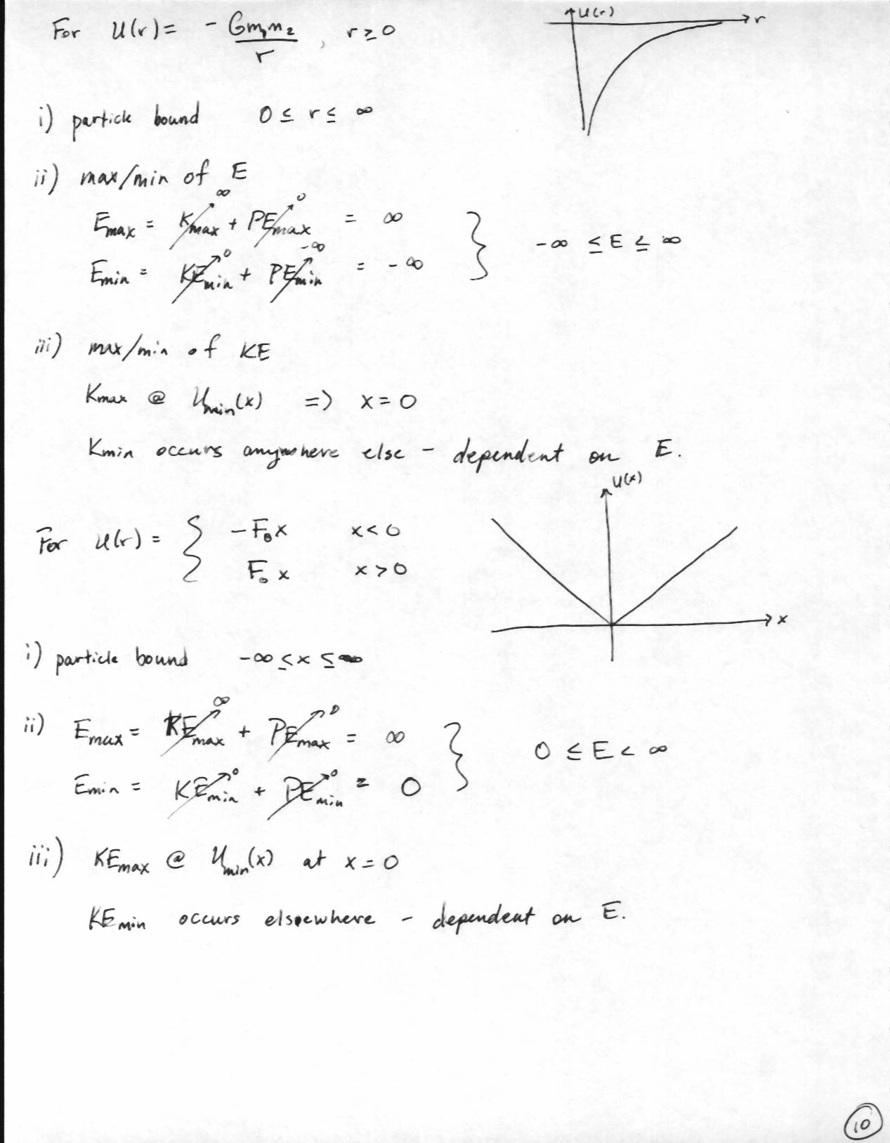
Here are the hand written solutions that are detailed and hopefully neat and clear:

Page 1 ... Page 2 ... Page 3 ... Page 4 ... Page 5 ... Page 6 ... Page 7 ... Page 8 ... Page 9 ... Page 10 ... Page 11 ... Page 12 ... Page 13 ... Page 14 ...